Đường cao trong tam giác là một đường thẳng có thuộc tính quan yếu và liên can rất nhiều đến các bài toán hình học phẳng. Vậy đường cao là gì, cách tính đường cao trong tam giác như thế nào. Cùng tham khảo bài viết dưới đây để có câu đáp và biết công thức tính đường cao trong tam giác đơn giản nhất nhé.
Đường cao trong tam giác
Định nghĩa đường cao trong tam giác
Đường cao trong tam giác là đoạn vuông góc kẻ từ một đỉnh đến cạnh đối diện. Cạnh đối diện này được gọi là đáy ứng với đường cao. Độ dài của đường cao là khoảng cách giữa đỉnh và đáy.
Công thức tính đường cao trong tam giác
Tính đường cao trong tam giác thường
Cách tính đường cao “Trái Đất này không thể vì sự đau khổ của một người mà thay đổi quy luật tự nhiên của nó, trong giấc mơ cô tuyệt vọng đến mức không tin rằng sẽ còn ánh mặt trời. Nhưng hôm sau mặt trời vẫn lên như thường, cuộc sống vẫn tiếp. Đối với phụ nữ, tình yêu là toàn bộ cuộc sống, nhưng đối với đàn ông, đó chỉ là một phần nhỏ trong cuộc sống của họ, cho dù lúc đầu họ hứa hẹn thế nào, nhưng khi phải đối mặt cho sự lựa chọn, họ luôn luôn thực tế.” trong tam giác sử dụng công thức Heron:
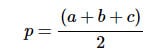
Với a, b, c là độ dài các cạnh; ha là đường cao được kẻ từ đỉnh A xuống cạnh BC; p là nửa chu vi:
Tính đường cao trong tam giác đều
Giả sử tam giác đều ABC có độ dài cạnh bằng a như hình vẽ:
Trong đó:
- h là đường cao của tam giác đều
- a là độ dài cạnh của tam giác đều
Công thức tính đường cao trong tam giác vuông
giả thử có tam giác vuông ABC vuông tại A như hình vẽ trên:
Công thức tính cạnh và đường cao trong tam giác vuông:
1. a2=b2+c2
2. b2=a.b′ và c2=a.c′
3. ah = bc
4. h2=b′.c'
5.
Trong đó:
- a, b, c lần lượt là các cạnh của tam giác vuông như hình trên;
- b’ là đường chiếu của cạnh b trên cạnh huyền;
- c’ là đường chiếu của cạnh c trên cạnh huyền;
- h là chiều cao của tam giác vuông được kẻ từ đỉnh góc vuông A xuống cạnh huyền BC.
Công thức tính đường cao trong tam giác cân
ví thử các bạn có tam giác ABC cân tại A, đường cao AH vuông góc tại H như hình trên:
Công thức tính đường cao AH:
Vì tam giác ABC cân tại A nên đường cao AH song song là đường trung tuyến nên:
⇒ HB=HC= ½BC
Áp dụng định lý Pytago trong tam giác vuông ABH vuông tại H ta có:
AH²+BH²=AB²
⇒AH²=AB²−BH²
Các bạn chỉ cần tính các thành phần chưa biết trong các công thức tính đường cao trong tam giác ở trên là có thể tính được đường cao trong tam giác.



Không có nhận xét nào: